Week 06: Comparing Means

Date: September 29, 2025

Today…

HIGHLIGHT THE USE OF THE rm() FUNCTION TO GET RID OF THINGS IN YOUR ENVIRONMENT

# File management
library(here)
# for dplyr, ggplot2
library(tidyverse)
# Pretty tables
library(sjPlot)
library(ggstatsplot)
# making tests easier
library(lsr) ## NEW
# Getting marginal means
library(emmeans)

#Remove Scientific Notation 
options(scipen=999)

Comparing Means

Converting to a t-score and checking against the t-distribution

  • One-Sample

  • Independent Sample

  • Paired Sample

but first…Degrees of Freedom

Degrees of Freedom: the number of values in the final calculation of a statistic that are free to vary

Example: Drawing a triangle

❓Question: If you have a sample of 5 scores and you know the mean is 3, how many of those scores can you freely change?

One Sample t-test

t-tests were developed by William Sealy Gosset, who was a chemist studying the grains used in making beer. (He worked for Guinness.)

  • Specifically, he wanted to know whether particular strains of grain made better or worse beer than the standard.

  • He developed the t-test, to test small samples of beer against a population with an unknown standard deviation.

    • Probably had input from Karl Pearson and Ronald Fisher
  • Published this as “Student” because Guinness didn’t want these tests tied to the production of beer.

One-sample tests compare your given sample with a “known” population

Research question: does this sample come from this population?

Hypotheses

  • \(H_0\): Yes, this sample comes from this population.

  • \(H_1\): No, this sample comes from a different population.

To calculate the t-statistic, we generally use this formula:

\[t_{df=N-1} = \frac{\bar{X}-\mu}{\frac{\hat{\sigma}}{\sqrt{N}}}\]

The heavier tails of the t-distribution, especially for small N, are the penalty we pay for having to estimate the population standard deviation from the sample.

Example

For examples today, we will use a dataset from Cards Against Humanity’s Pulse of the Nation survey (https://thepulseofthenation.com/)

## We are using read_csv() this time
## import() was doing something strange with missing values
cah <- read_csv(here("files", "data", "CAH.csv")) %>% 
  janitor::clean_names() 

head(cah)
# A tibble: 6 × 16
     id income gender   age age_range political_affiliation education  ethnicity
  <dbl>  <dbl> <chr>  <dbl> <chr>     <chr>                 <chr>      <chr>    
1     1   8000 Female    64 55-64     Democrat              College d… White    
2     2  68000 Female    56 55-64     Democrat              High scho… Black    
3     3  46000 Male      63 55-64     Independent           Some coll… White    
4     4  51000 Male      48 45-54     Republican            High scho… White    
5     5 100000 Female    32 25-34     Democrat              Some coll… White    
6     6  54000 Female    64 55-64     Democrat              Some coll… White    
# ℹ 8 more variables: marital_status <chr>, climate_change <chr>,
#   transformers <dbl>, books <dbl>, ghosts <chr>, spending <chr>,
#   choice <chr>, shower_pee <chr>

Assumptions of the one-sample t-test

Normality. We assume the sampling distribution of the mean is normally distributed. Under what two conditions can we be assured that this is true?

Independence. Observations in the dataset are not associated with one another. Put another way, collecting a score from Participant A doesn’t tell me anything about what Participant B will say. How can we be safe in this assumption?

A brief example

Using the Cards Against Humanity data, we find that participants identified having approximately 22.33 ( \(sd = 75.87\) ) books in their home. We know that the average household has approximately 50 books. How does this sample represent the larger united states?

Hypotheses

\(H_0: \mu = 50\)

\(H_1: \mu \neq 50\)

\[\mu = 50\]

\[N = 1000\]

\[ \bar{X} = 22.33 \]

\[ s = 75.87 \]

t.test(x = cah$books, mu = 50,        
       alternative = "two.sided")

    One Sample t-test

data:  cah$books
t = -11.399, df = 976, p-value < 0.00000000000000022
alternative hypothesis: true mean is not equal to 50
95 percent confidence interval:
 17.56785 27.09438
sample estimates:
mean of x 
 22.33112 
lsr::oneSampleTTest(x = cah$books, mu = 50, 
                    one.sided = FALSE)

   One sample t-test 

Data variable:   cah$books 

Descriptive statistics: 
             books
   mean     22.331
   std dev. 75.869

Hypotheses: 
   null:        population mean equals 50 
   alternative: population mean not equal to 50 

Test results: 
   t-statistic:  -11.399 
   degrees of freedom:  976 
   p-value:  <.001 

Other information: 
   two-sided 95% confidence interval:  [17.568, 27.094] 
   estimated effect size (Cohen's d):  0.365 

Cohen’s D

Cohen suggested one of the most common effect size estimates—the standardized mean difference—useful when comparing a group mean to a population mean or two group means to each other.

\[\delta = \frac{\mu_1 - \mu_0}{\sigma} \approx d = \frac{\bar{X}-\mu}{\hat{\sigma}}\]

Cohen’s d is in the standard deviation (Z) metric.

Cohens’s d for these data is \(0.365\). In other words, the sample mean differs from the population mean by \(0.365\) standard deviation units.

Cohen (1988) suggests the following guidelines for interpreting the size of d:

  • .2 = Small

  • .5 = Medium

  • .8 = Large

Cohen, J. (1988), Statistical power analysis for the behavioral sciences (2nd Ed.). Hillsdale: Lawrence Erlbaum.

The usefulness of the one-sample t-test

How often will you conducted a one-sample t-test on raw data?

  • (Probably) never

How often will you come across one-sample t-tests?

  • (Probably) a lot!

The one-sample t-test is used to test coefficients in a model.

YOUR TURN 💻

Independent Samples t-test

Two different types: Student’s & Welch’s

  • Start with Student’s t-test which assumes equal variances between the groups

\[ t = \frac{\bar{X_1} - \bar{X_2}}{SE(\bar{X_1} - \bar{X_2})} \]

Student’s t-test

\[ H_0 : \mu_1 = \mu_2 \ \ H_1 : \mu_1 \neq \mu_2 \]

Student’s t-test: Calculate SE

Are able to use a pooled variance estimate

Both variances/standard deviations are assumed to be equal

Therefore:

\[ SE(\bar{X_1} - \bar{X_2}) = \hat{\sigma} \sqrt{\frac{1}{N_1} + \frac{1}{N_2}} \]

We are calculating the Standard Error of the Difference between means

Degrees of Freedom: Total N - 2

Student’s t-test

Let’s try it out using the traditional t.test() function

Difference in Books by Belief in Ghosts

t.test(formula = books ~ ghosts,
       data = cah, var.equal = TRUE )

    Two Sample t-test

data:  books by ghosts
t = -1.3642, df = 951, p-value = 0.1728
alternative hypothesis: true difference in means between group No and group Yes is not equal to 0
95 percent confidence interval:
 -16.98193   3.05404
sample estimates:
 mean in group No mean in group Yes 
         19.86525          26.82920 

Welch’s t-test

\[ H_0 : \mu_1 = \mu_2 \ \ H_1 : \mu_1 \neq \mu_2 \]

Welch’s t-test: Calculate SE

Since the variances are not equal, we have to estimate the SE differently

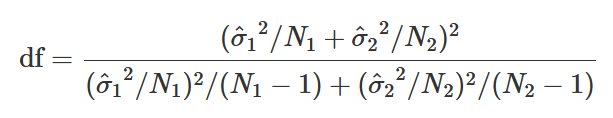
\[ SE(\bar{X_1} - \bar{X_2}) = \sqrt{\frac{\hat{\sigma_1^2}}{N_1} + \frac{\hat{\sigma_2^2}}{N_2}} \]

Degrees of Freedom is also very different:

Welch’s t-test: In R (classic)

Let’s try it out using the traditional t.test() function…turns out it is pretty straightforward

t.test(formula = books ~ ghosts,
       data = cah, var.equal = FALSE )

    Welch Two Sample t-test

data:  books by ghosts
t = -1.2319, df = 542.85, p-value = 0.2185
alternative hypothesis: true difference in means between group No and group Yes is not equal to 0
95 percent confidence interval:
 -18.068820   4.140927
sample estimates:
 mean in group No mean in group Yes 
         19.86525          26.82920 

Cool Visualizations

The library ggstatsplot has some wonderful visualizations of various tests

Code
ggstatsplot::ggbetweenstats(   
  data  = cah,   
  x     = ghosts,   
  y     = books,   
  title = "Distribution of books by belief in ghosts" )

Interpreting and writing up an independent samples t-test

The first sentence usually conveys some descriptive information about the two groups you were comparing. Then you identify the type of test you conducted and what was determined (be sure to include the “stat block” here as well with the t-statistic, df, p-value, CI and Effect size). Finish it up by putting that into person words and saying what that means.

The mean amount of books in the household for the group who did not believe in ghosts was 19.9 (SD = 61.2), while the mean for those who believed in ghosts was 26.8 (SD = 96.4). A Student’s independent samples t-test showed that there was not a significant mean difference (t(951)=-1.364, p=.17, \(CI_{95}\)=[-16.98, 3.05]). This suggests that there is no difference in amount of books in their household as a function of belief in ghosts.

YOUR TURN 💻

Paired Samples \(t\)-Test

Chapter 13.5 - Learning Stats with R

Also called “Dependent Samples t-test”

  • We have been testing means between two independent samples. Participants may be randomly assigned to the separate groups

    • This is limited to those types of study designs, but what if we have repeated measures?
  • We will then need to compare scores across people…the samples we are comparing now depend on one another and are paired

Paired Samples \(t\)-test

Each of the repeated measures (or pairs) can be viewed as a difference score

This reduces the analysis to a one-sample t-test of the difference score

  • We are comparing the sample (i.e., difference scores) to a population \(\mu\) = 0

Assumptions: Paired Samples

The variable of interest (difference scores):

  • Continuous (Interval/Ratio)

  • Have 2 groups (and only two groups) that are matched

  • Normally Distributed

Why paired samples??

Previously, we looked at independent samples \(t\)-tests, which we could do here as well (nobody will yell at you)

  • However, this would violate the assumption that the data points are independent of one another!

  • Within vs. Between-subjects

Within vs. Between Subjects

Paired Samples: Single Sample

Instead of focusing on these variables as being separate/independent, we need to be able to account for their dependency on one another

This is done by calculating a difference or change score for each participant

\[ D_i = X_{i1} - X_{i2} \]

Notice: The equation is set up as variable1 minus variable2. This will be important when we interpret the results

Paired Samples: Hypotheses & \(t\)-statistic

The hypotheses would then be:

\[ H_0: \mu_D = 0; H_1: \mu_D \neq 0 \]

And to calculate our t-statistic:       \(t_{df=n-1} = \frac{\bar{D}}{SE(D)}\)

where the Standard Error of the difference score is:        \(\frac{\hat{\sigma_D}}{\sqrt{N}}\)

Review of the t-test process

  1. Collect Sample and define hypotheses

  2. Set alpha level

  3. Determine the sampling distribution (\(t\) distribution for now)

  4. Identify the critical value that corresponds to alpha and df

  5. Calculate test statistic for sample collected

  6. Inspect & compare statistic to critical value; Calculate probability

Example 1: Simple (by hand)

Participants are placed in two differently colored rooms (counterbalanced) and are asked to rate overall happiness levels after spending 5 minutes inside the rooms. There are no windows, but there is a nice lamp and chair.

Hypotheses:

  • \(H_0:\) There is no difference in ratings of happiness between the rooms ( \(\mu = 0\) )

  • \(H_1:\) There is a difference in ratings of happiness between the rooms ( \(\mu \neq 0\) )

Participant Blue Room Score Orange Room Score Difference (\(X_{iB} - X_{iO}\))
1 3 6 -3
2 9 9 0
3 2 10 -8
4 9 6 3
5 5 2 3
6 5 7 -2
Code
ex1 <- data.frame(id = c(1,2,3,4,5,6),
                  blue = c(3,9,2,9,5,5),    
                  orange = c(6,9,10,6,2,7),   
                  diff_score = c(-3, 0, -8, 3, 3, -2))
  head(ex1)
  id blue orange diff_score
1  1    3      6         -3
2  2    9      9          0
3  3    2     10         -8
4  4    9      6          3
5  5    5      2          3
6  6    5      7         -2

Determining \(t\)-crit

Can look things up using a t-table where you need the degrees of freedom and the alpha

But we have R to do those things for us:

#the qt() function is for a 1 tailed test, so we are having to divide it in half to get both tails 

alpha <- 0.05 
n <- nrow(ex1) 
t_crit <- qt(alpha/2, n-1) 
t_crit
[1] -2.570582

Calculating t

Let’s get all of the information for the sample we are focusing on (difference scores):

d <- mean(ex1$diff_score) 
d 
[1] -1.166667
sd_diff <- sd(ex1$diff_score) 
sd_diff
[1] 4.167333

Calculating t

Now we can calculate our \(t\)-statistic: \[t_{df=n-1} = \frac{\bar{D}}{\frac{sd_{diff}}{\sqrt{n}}}\]

t_stat <- d/(sd_diff/(sqrt(n))) 
t_stat  
[1] -0.6857474
#Probability of this t-statistic  
p_val <- pt(t_stat, n-1)*2 
p_val
[1] 0.5233677

Make a decision

Hypotheses:

  • \(H_0:\) There is no difference in ratings of happiness between the rooms ( \(\mu = 0\) )

  • \(H_1:\) There is a difference in ratings of happiness between the rooms ( \(\mu \neq 0\) )

\(alpha\) \(t-crit\) \(t-statistic\) \(p-value\)
0.05 \(\pm\) -2.57 -0.69 0.52

What can we conclude??

Example 2: Data in R

state_school <- read_csv("https://raw.githubusercontent.com/dharaden/dharaden.github.io/main/data/NM-NY_CAS.csv") %>% 
  #create an ID variable
  rowid_to_column("id")

Let’s Look at the data

Research Question: Is there a difference between school nights and weekend nights for amount of time slept?

Only looking at the variables that we are potentially interested in:

state_school %>%    
  select(id, Gender, Ageyears, Sleep_Hours_Schoolnight, Sleep_Hours_Non_Schoolnight) %>%    
  head() #look at first few observations
# A tibble: 6 × 5
     id Gender Ageyears Sleep_Hours_Schoolnight Sleep_Hours_Non_Schoolnight
  <int> <chr>     <dbl>                   <dbl>                       <dbl>
1     1 Female       16                     8                            13
2     2 Male         17                     8                             9
3     3 Female       19                     8                             7
4     4 Male         17                     8                             9
5     5 Male         16                     8.5                           5
6     6 Female       11                    11                            12

Difference Score

This can be done in a couple different ways and sometimes you will see things computed this way:

state_school$sleep_diff <- state_school$Sleep_Hours_Schoolnight - state_school$Sleep_Hours_Non_Schoolnight

However, we like the tidyverse so why don’t we use the mutate() function

And I always overdo things, so I am going to make a new dataset that only has the variables that I’m interested in (sleep_state_school)

Code
sleep_state_school <- state_school %>%    
  mutate(sleep_diff = Sleep_Hours_Schoolnight - Sleep_Hours_Non_Schoolnight) %>%   
  select(id, Gender, Ageyears, Sleep_Hours_Schoolnight,          Sleep_Hours_Non_Schoolnight, sleep_diff)  

head(sleep_state_school)
# A tibble: 6 × 6
     id Gender Ageyears Sleep_Hours_Schoolni…¹ Sleep_Hours_Non_Scho…² sleep_diff
  <int> <chr>     <dbl>                  <dbl>                  <dbl>      <dbl>
1     1 Female       16                    8                       13       -5  
2     2 Male         17                    8                        9       -1  
3     3 Female       19                    8                        7        1  
4     4 Male         17                    8                        9       -1  
5     5 Male         16                    8.5                      5        3.5
6     6 Female       11                   11                       12       -1  
# ℹ abbreviated names: ¹​Sleep_Hours_Schoolnight, ²​Sleep_Hours_Non_Schoolnight

Visualizing

Now that we have our variable of interest, let’s take a look at it!

sleep_state_school %>%   
  ggplot(aes(sleep_diff)) +    
  geom_histogram()

Doing the test in R: One Sample

Since we have calculated the difference scores, we can basically just do a one-sample t-test with the lsr library

oneSampleTTest(sleep_state_school$sleep_diff, mu = 0)

   One sample t-test 

Data variable:   sleep_state_school$sleep_diff 

Descriptive statistics: 
            sleep_diff
   mean         -1.866
   std dev.      2.741

Hypotheses: 
   null:        population mean equals 0 
   alternative: population mean not equal to 0 

Test results: 
   t-statistic:  -9.106 
   degrees of freedom:  178 
   p-value:  <.001 

Other information: 
   two-sided 95% confidence interval:  [-2.27, -1.462] 
   estimated effect size (Cohen's d):  0.681 

Doing the test in R: Paired Sample

Maybe we want to keep things separate and don’t want to calculate separate values. We can use pairedSamplesTTest() instead!

But this isn’t working and is making me mad…

lsr::pairedSamplesTTest(
  formula = ~ Sleep_Hours_Schoolnight + Sleep_Hours_Non_Schoolnight,
  data = sleep_state_school
)

Doing the test in R: Classic Edition

As you Google around to figure things out, you will likely see folks using t.test()

t.test(x = sleep_state_school$Sleep_Hours_Schoolnight,    
       y = sleep_state_school$Sleep_Hours_Non_Schoolnight,
       paired = TRUE )

    Paired t-test

data:  sleep_state_school$Sleep_Hours_Schoolnight and sleep_state_school$Sleep_Hours_Non_Schoolnight
t = -9.1062, df = 178, p-value < 0.00000000000000022
alternative hypothesis: true mean difference is not equal to 0
95 percent confidence interval:
 -2.270281 -1.461563
sample estimates:
mean difference 
      -1.865922 

Reporting \(t\)-test

The first sentence usually conveys some descriptive information about the sample you were comparing (e.g., pre & post test).

Then you identify the type of test you conducted and what was determined (be sure to include the “stat block” here as well with the t-statistic, df, p-value, CI and Effect size).

Finish it up by putting that into person words and saying what that means.

YOUR TURN 💻

ANOVA (Analysis of Variance)

What is ANOVA? (LSR Ch. 14)

  • ANOVA stands for Analysis of Variance
  • Comparing means between two or more groups (usually 3 or more)
    • Continuous outcome and grouping variable with 2 or more levels
  • Under the larger umbrella of general linear models
    • ANOVA is basically a regression with only categorical predictors
  • Likely the most widely used tool in Psychology

Different Types of ANOVA

  • One-Way ANOVA

  • Two-Way ANOVA

  • Repeated Measures ANOVA

  • ANCOVA

  • MANOVA

One-Way ANOVA

Goal: Inform of differences among the levels of our variable of interest (Omnibus Test)

  • But cannot tell us more than that…

Hypotheses:

\[ H_0: it\: is\: true\: that\: \mu_1 = \mu_2 = \mu_3 =\: ...\mu_k \\ H_1: it\: is\: \boldsymbol{not}\: true\: that\: \mu_1 = \mu_2 = \mu_3 =\: ...\mu_k \]

Wait…Means or Variance?

We are using the variance to create a ratio (within group versus between group variance) to determine differences in means

  • We are not directly investigating variance, but operationalize variance to create the ratio:

\[ F_{df_b, \: df_w} = \frac{MS_{between}}{MS_{within}} \]

\(F = \frac{MS_{between}}{MS_{within}} = \frac{small}{large} < 1\)

\(F = \frac{MS_{between}}{MS_{within}} = \frac{large}{small} > 1\)

ANOVA: Assumptions

Independence

  • Observations between and within groups should be independent. No autocorrelation

Homogeneity of Variance

  • The variances within each group should be roughly equal
    • Levene’s test –> Welch’s ANOVA for unequal variances

Normality

  • The data within each group should follow a normal distribution
    • Shapiro-Wilk test –> can transform the data or use non-parametric tests

NHST with ANOVA

Review of the NHST process

  1. Collect Sample and define hypotheses

  2. Set alpha level

  3. Determine the sampling distribution (will be using \(F\)-distribution now)

  4. Identify the critical value

  5. Calculate test statistic for sample collected

  6. Inspect & compare statistic to critical value; Calculate probability

Steps to calculating F-ratio

  1. Capture variance both between and within groups
  2. Variance to Sum of Squares
  3. Degrees of Freedom
  4. Mean squares values
  5. F-Statistic

Capturing Variance

We have calculated variance before!

\[ Var = \frac{1}{N}\sum(x_i - \bar{x})^2 \]

Now we have to take into account the variance between and within the groups:

\[ Var(Y) = \frac{1}{N} \sum^G_{k=1}\sum^{N_k}_{i=i}(Y_{ik} - \bar{Y})^2 \]

Notice that we have the summation across each group ( \(G\) ) and the person in the group ( \(N_k\) )

Variance to Sum of Squares

Total Sum of Squares - Adding up the sum of squares instead of getting the average (notice the removal of \(\frac{1}{N}\))

\[ SS_{total} = \sum^G_{k=1}\sum^{N_k}_{i=i}(Y_{ik} - \bar{Y})^2 \]

Can be broken up to see what is the variation between the groups AND the variation within the groups

\[ SS_{total}=SS_{between}+SS_{within} \]

This gets us closer to understanding the difference between means

Sum of Squares

Sum of Squares

\[ SS_{total}=SS_{between}+SS_{within} \]

Example Data

Example Data

Example Data

Example Data

Sum of Squares - Between

The difference between the group mean and grand mean

\[ SS_{between} = \sum^G_{k=1}N_k(\bar{Y_k} - \bar{Y})^2 \]

Group Group Mean \(\bar{Y_k}\) Grand Mean \(\bar{Y}\)
Cool 32 41.8
Uncool 56.5 41.8

Sum of Squares - Between

The difference between the group mean and grand mean

\[ SS_{between} = \sum^G_{k=1}N_k(\bar{Y_k} - \bar{Y})^2 \]

Group Group Mean \(\bar{Y_k}\) Grand Mean \(\bar{Y}\) Sq. Dev. N Weighted Sq. Dev.
Cool 32 41.8 96.04 3 288.12
Uncool 56.5 41.8 216.09 2 432.18

Sum of Squares - Between

The difference between the group mean and grand mean

\[ SS_{between} = \sum^G_{k=1}N_k(\bar{Y_k} - \bar{Y})^2 \]

Now we can sum the Weighted Squared Deviations together to get our Sum of Squares Between:

ssb <- 288.12 + 432.18 
ssb
[1] 720.3

Sum of Squares - Within

The difference between the individual and their group mean

\[ SS_{within} = \sum^G_{k=1}\sum^{N_k}_{i=i}(Y_{ik} - \bar{Y_k})^2 \]

Name Grumpiness \(Y_{ik}\) Group Mean \(\bar{Y_K}\)
Frodo 20 32
Sam 55 32
Bandit 21 32
Dolores U. 91 56.5
Dustin 22 56.5

Sum of Squares - Within

The difference between the individual and their group mean

\[ SS_{within} = \sum^G_{k=1}\sum^{N_k}_{i=i}(Y_{ik} - \bar{Y_k})^2 \]

Name Grumpiness \(Y_{ik}\) Group Mean \(\bar{Y_K}\) Sq. Dev
Frodo 20 32 144
Sam 55 32 529
Bandit 21 32 121
Dolores U. 91 56.5 1190.25
Dustin 22 56.5 1190.25
Code
score <- c(20, 55, 21, 91, 22) 
group_m <- c(32, 32, 32, 56.5, 56.5) 
sq_dev <- (score - group_m)^2

Sum of Squares - Within

The difference between the individual and their group mean

\[ SS_{within} = \sum^G_{k=1}\sum^{N_k}_{i=i}(Y_{ik} - \bar{Y_k})^2 \] Now we can sum the Squared Deviations together to get our Sum of Squares Within:

sum(sq_dev)
[1] 3174.5

Sum of Squares

Can start to have an idea of what this looks like

\[ SS_{between} = \sum^G_{k=1}N_k(\bar{Y_k} - \bar{Y})^2 = 720.3 \]

\[ SS_{within} = \sum^G_{k=1}\sum^{N_k}_{i=i}(Y_{ik} - \bar{Y_k})^2 = 3174.5 \]

Next we have to take into account the degrees of freedom

Degrees of Freedom - ANOVA

Degrees of Freedom

Since we have 2 types of variations that we are examining, this needs to be reflected in the degrees of freedom

  1. Take the number of groups and subtract 1
    \(df_{between} = G - 1\)

  2. Take the total number of observations and subtract the number of groups

    \(df_{within} = N - G\)

Mean Squares

Calculating Mean Squares

Next we convert our summed squares value into a “mean squares”

This is done by dividing by the respective degrees of freedom

\[ MS_b = \frac{SS_b}{df_b} \]

\[ MS_W = \frac{SS_w}{df_w} \]

Calculating Mean Squares - Example

Let’s take a look at how this applies to our example: \[ MS_b = \frac{SS_b}{G-1} = \frac{720.3}{2-1} = 720.3 \]

\[ MS_W = \frac{SS_w}{N-G} = \frac{3174.5}{5-2} = 1058.167 \]

\(F\)-Statistic

Calculating the F-Statistic

\[F = \frac{MS_b}{MS_w}\]

If the null hypothesis is true, \(F\) has an expected value close to 1 (numerator and denominator are estimates of the same variability)

If it is false, the numerator will likely be larger, because systematic, between-group differences contribute to the variance of the means, but not to variance within group.

Code
data.frame(F = c(0,8)) %>%   
  ggplot(aes(x = F)) +   
  stat_function(fun = function(x) df(x, df1 = 3, df2 = 196),                  geom = "line") +   
  stat_function(fun = function(x) df(x, df1 = 3, df2 = 196),                  geom = "area", xlim = c(2.65, 8), fill = "purple") +   geom_vline(aes(xintercept = 2.65), color = "purple") +   scale_y_continuous("Density") + scale_x_continuous("F statistic", breaks = NULL) +   theme_bw(base_size = 20)

If data are normally distributed, then the variance is \(\chi^2\) distributed

\(F\)-distributions are one-tailed tests. Recall that we’re interested in how far away our test statistic from the null \((F = 1).\)

Calculating F-statistic: Example

\[F = \frac{MS_b}{MS_w} = \frac{720.3}{1058.167} = 0.68\]

Link to probability calculator

Code
data.frame(F = c(0,8)) %>%   
  ggplot(aes(x = F)) +   
  stat_function(fun = function(x) df(x, df1 = 3, df2 = 196),                  geom = "line") +   
  stat_function(fun = function(x) df(x, df1 = 3, df2 = 196),                  geom = "area", xlim = c(2.65, 8), fill = "purple") +   geom_vline(aes(xintercept = 2.65), color = "purple") +
  geom_vline(aes(xintercept = 0.68), color = "red") +    
  annotate("text",            
           label = "F=0.68",             
           x = 1.1, y = 0.65, size = 8, color = "red") +
  scale_y_continuous("Density") + 
  scale_x_continuous("F statistic", breaks = NULL) +   
  theme_bw(base_size = 20)

What can we conclude?

Contrasts/Post-Hoc Tests

Performed when there is a significant difference among the groups to examine which groups are different

  1. Contrasts: When we have a priori hypotheses
  2. Post-hoc Tests: When we want to test everything

Reporting Results

Tables

Often times the output will be in the form of a table and then it is often reported this way in the manuscript

Source of Variation df Sum of Squares Mean Squares F-statistic p-value
Group \(G-1\) \(SS_b\) \(MS_b = \frac{SS_b}{df_b}\) \(F = \frac{MS_b}{MS_w}\) \(p\)
Residual \(N-G\) \(SS_w\) \(MS_w = \frac{SS_w}{df_w}\)
Total \(N-1\) \(SS_{total}\)

In-Text

A one-way analysis of variance was used to test for differences in the [variable of interest/outcome variable] as a function of [whatever the factor is]. Specifically, differences in [variable of interest] were assessed for the [list different levels and be sure to include (M= , SD= )] . The one-way ANOVA revealed a significant/nonsignificant effect of [factor] on scores on the [variable of interest] (F(dfb, dfw) = f-ratio, p = p-value, η2 = effect size).

Planned comparisons were conducted to compare expected differences among the [however many groups] means. Planned contrasts revealed that participants in the [one of the conditions] had a greater/fewer [variable of interest] and then include the p-value. This same type of sentence is repeated for whichever contrasts you completed. Descriptive statistics were reported in Table 1.

One-Way ANOVA in R

Continuous_Variable ~ Group_Variable

Books by Marital Status

We can examine how many books (continuous) by marital status (7 categories: Married, Divorced, In a relationship, Other, Separated, Widowed, Single)

VISUALIZE!

ggbetweenstats(
  data  = cah,
  x     = marital_status,
  y     = books,
  title = "Distribution of books across marital status"
)

Running the ANOVA

Use the same way we build a model and then get the summary of that model

aov_mar <- aov(books ~ marital_status, 
               data = cah)

summary(aov_mar)
                Df  Sum Sq Mean Sq F value  Pr(>F)   
marital_status   6  124027   20671   3.624 0.00146 **
Residuals      963 5492561    5704                   
---
Signif. codes:  0 '***' 0.001 '**' 0.01 '*' 0.05 '.' 0.1 ' ' 1
30 observations deleted due to missingness

Post-hoc Tests

  1. Examine the basic summary statistics
  2. Do pairwise comparisons between each of the groups, based on the model we created
#get basic summary stats
cah %>% 
  group_by(marital_status) %>% 
  summarise(mean = mean(books, na.rm = TRUE), 
            sd = sd(books, na.rm = TRUE))
# A tibble: 8 × 3
  marital_status     mean    sd
  <chr>             <dbl> <dbl>
1 Divorced          56.9  165. 
2 In a relationship 13.6   25.8
3 Married           18.3   59.5
4 Other             50     NA  
5 Separated          7.75  14.3
6 Single            20.4   76.1
7 Widowed           30.7   59.0
8 <NA>              14     12.3
# conduct the comparisons
emmeans(aov_mar, pairwise ~ marital_status, 
        adjust = "none") 
$emmeans
 marital_status    emmean    SE  df lower.CL upper.CL
 Divorced           56.87  8.29 963    40.61     73.1
 In a relationship  13.61  8.05 963    -2.19     29.4
 Married            18.28  3.36 963    11.68     24.9
 Other              50.00 75.50 963   -98.21    198.2
 Separated           7.75 18.90 963   -29.30     44.8
 Single             20.37  5.27 963    10.01     30.7
 Widowed            30.67  8.84 963    13.32     48.0

Confidence level used: 0.95 

$contrasts
 contrast                      estimate    SE  df t.ratio p.value
 Divorced - In a relationship     43.26 11.60 963   3.744  0.0002
 Divorced - Married               38.59  8.95 963   4.314  <.0001
 Divorced - Other                  6.87 76.00 963   0.090  0.9279
 Divorced - Separated             49.12 20.60 963   2.382  0.0174
 Divorced - Single                36.51  9.83 963   3.716  0.0002
 Divorced - Widowed               26.20 12.10 963   2.162  0.0308
 In a relationship - Married      -4.67  8.73 963  -0.535  0.5929
 In a relationship - Other       -36.39 76.00 963  -0.479  0.6320
 In a relationship - Separated     5.86 20.50 963   0.286  0.7752
 In a relationship - Single       -6.75  9.62 963  -0.702  0.4831
 In a relationship - Widowed     -17.06 12.00 963  -1.427  0.1540
 Married - Other                 -31.72 75.60 963  -0.420  0.6749
 Married - Separated              10.53 19.20 963   0.549  0.5831
 Married - Single                 -2.09  6.26 963  -0.333  0.7389
 Married - Widowed               -12.39  9.46 963  -1.310  0.1904
 Other - Separated                42.25 77.80 963   0.543  0.5874
 Other - Single                   29.63 75.70 963   0.391  0.6956
 Other - Widowed                  19.33 76.00 963   0.254  0.7994
 Separated - Single              -12.62 19.60 963  -0.644  0.5200
 Separated - Widowed             -22.92 20.80 963  -1.099  0.2718
 Single - Widowed                -10.31 10.30 963  -1.001  0.3170

Family-wise error

These pairwise comparisons can quickly grow in number as the number of Groups increases. With 3 (k) Groups, we have k(k-1)/2 = 3 possible pairwise comparisons.

As the number of groups in the ANOVA grows, the number of possible pairwise comparisons increases dramatically.

As the number of tests grows, and assuming the null hypothesis is true, the probability that we will make one or more Type I errors increases. To approximate the magnitude of the problem, we can assume that the multiple pairwise comparisons are independent. The probability that we don’t make a Type I error for one test is:

\[P(\text{No Type I}, 1 \text{ test}) = 1-\alpha\]

The probability that we don’t make a Type I error for two tests is:

\[P(\text{No Type I}, 2 \text{ test}) = (1-\alpha)(1-\alpha)\]

For C tests, the probability that we make no Type I errors is

\[P(\text{No Type I}, C \text{ tests}) = (1-\alpha)^C\]

We can then use the following to calculate the probability that we make one or more Type I errors in a collection of C independent tests.

\[P(\text{At least one Type I}, C \text{ tests}) = 1-(1-\alpha)^C\]

The Type I error inflation that accompanies multiple comparisons motivates the large number of “correction” procedures that have been developed.

Multiple comparisons, each tested with \(\alpha_{per-test}\), increases the family-wise \(\alpha\) level.

\[\large \alpha_{family-wise} = 1 - (1-\alpha_{per-test})^C\] Šidák showed that the family-wise a could be controlled to a desired level (e.g., .05) by changing the \(\alpha_{per-test}\) to:

\[\large \alpha_{per-wise} = 1 - (1-\alpha_{family-wise})^{\frac{1}{C}}\]

Bonferroni

Bonferroni (and Dunn, and others) suggested this simple approximation:

\[\large \alpha_{per-test} = \frac{\alpha_{family-wise}}{C}\]

This is typically called the Bonferroni correction and is very often used even though better alternatives are available.

emmeans(aov_mar, pairwise ~ marital_status,          adjust = "bonferroni")
$emmeans
 marital_status    emmean    SE  df lower.CL upper.CL
 Divorced           56.87  8.29 963    40.61     73.1
 In a relationship  13.61  8.05 963    -2.19     29.4
 Married            18.28  3.36 963    11.68     24.9
 Other              50.00 75.50 963   -98.21    198.2
 Separated           7.75 18.90 963   -29.30     44.8
 Single             20.37  5.27 963    10.01     30.7
 Widowed            30.67  8.84 963    13.32     48.0

Confidence level used: 0.95 

$contrasts
 contrast                      estimate    SE  df t.ratio p.value
 Divorced - In a relationship     43.26 11.60 963   3.744  0.0040
 Divorced - Married               38.59  8.95 963   4.314  0.0004
 Divorced - Other                  6.87 76.00 963   0.090  1.0000
 Divorced - Separated             49.12 20.60 963   2.382  0.3654
 Divorced - Single                36.51  9.83 963   3.716  0.0045
 Divorced - Widowed               26.20 12.10 963   2.162  0.6478
 In a relationship - Married      -4.67  8.73 963  -0.535  1.0000
 In a relationship - Other       -36.39 76.00 963  -0.479  1.0000
 In a relationship - Separated     5.86 20.50 963   0.286  1.0000
 In a relationship - Single       -6.75  9.62 963  -0.702  1.0000
 In a relationship - Widowed     -17.06 12.00 963  -1.427  1.0000
 Married - Other                 -31.72 75.60 963  -0.420  1.0000
 Married - Separated              10.53 19.20 963   0.549  1.0000
 Married - Single                 -2.09  6.26 963  -0.333  1.0000
 Married - Widowed               -12.39  9.46 963  -1.310  1.0000
 Other - Separated                42.25 77.80 963   0.543  1.0000
 Other - Single                   29.63 75.70 963   0.391  1.0000
 Other - Widowed                  19.33 76.00 963   0.254  1.0000
 Separated - Single              -12.62 19.60 963  -0.644  1.0000
 Separated - Widowed             -22.92 20.80 963  -1.099  1.0000
 Single - Widowed                -10.31 10.30 963  -1.001  1.0000

P value adjustment: bonferroni method for 21 tests 

The Bonferroni procedure is conservative. Other correction procedures have been developed that control family-wise Type I error at .05 but that are more powerful than the Bonferroni procedure. The most common one is the Holm procedure.

The Holm procedure does not make a constant adjustment to each per-test \(\alpha\). Instead it makes adjustments in stages depending on the relative size of each pairwise p-value.

Holm correction

  1. Rank order the p-values from largest to smallest.
  2. Start with the smallest p-value. Multiply it by its rank.
  3. Go to the next smallest p-value. Multiply it by its rank. If the result is larger than the adjusted p-value of next smallest rank, keep it. Otherwise replace with the previous step adjusted p-value.
  4. Repeat Step 3 for the remaining p-values.
  5. Judge significance of each new p-value against \(\alpha = .05\).
Original p value Rank Rank x p Holm Bonferroni
0.0012 6 0.0072 0.0072 0.0072
0.0023 5 0.0115 0.0115 0.0138
0.0450 4 0.1800 0.1800 0.2700
0.0470 3 0.1410 0.1800 0.2820
0.0530 2 0.1060 0.1800 0.3180
0.2100 1 0.2100 0.2100 1.0000
emmeans(aov_mar, pairwise ~ marital_status,          adjust = "holm")
$emmeans
 marital_status    emmean    SE  df lower.CL upper.CL
 Divorced           56.87  8.29 963    40.61     73.1
 In a relationship  13.61  8.05 963    -2.19     29.4
 Married            18.28  3.36 963    11.68     24.9
 Other              50.00 75.50 963   -98.21    198.2
 Separated           7.75 18.90 963   -29.30     44.8
 Single             20.37  5.27 963    10.01     30.7
 Widowed            30.67  8.84 963    13.32     48.0

Confidence level used: 0.95 

$contrasts
 contrast                      estimate    SE  df t.ratio p.value
 Divorced - In a relationship     43.26 11.60 963   3.744  0.0038
 Divorced - Married               38.59  8.95 963   4.314  0.0004
 Divorced - Other                  6.87 76.00 963   0.090  1.0000
 Divorced - Separated             49.12 20.60 963   2.382  0.3132
 Divorced - Single                36.51  9.83 963   3.716  0.0041
 Divorced - Widowed               26.20 12.10 963   2.162  0.5244
 In a relationship - Married      -4.67  8.73 963  -0.535  1.0000
 In a relationship - Other       -36.39 76.00 963  -0.479  1.0000
 In a relationship - Separated     5.86 20.50 963   0.286  1.0000
 In a relationship - Single       -6.75  9.62 963  -0.702  1.0000
 In a relationship - Widowed     -17.06 12.00 963  -1.427  1.0000
 Married - Other                 -31.72 75.60 963  -0.420  1.0000
 Married - Separated              10.53 19.20 963   0.549  1.0000
 Married - Single                 -2.09  6.26 963  -0.333  1.0000
 Married - Widowed               -12.39  9.46 963  -1.310  1.0000
 Other - Separated                42.25 77.80 963   0.543  1.0000
 Other - Single                   29.63 75.70 963   0.391  1.0000
 Other - Widowed                  19.33 76.00 963   0.254  1.0000
 Separated - Single              -12.62 19.60 963  -0.644  1.0000
 Separated - Widowed             -22.92 20.80 963  -1.099  1.0000
 Single - Widowed                -10.31 10.30 963  -1.001  1.0000

P value adjustment: holm method for 21 tests 

Tukey HSD

Used to compare all groups to each other (so all possible comparisons of 2 groups)

Typically the most common

emmeans(aov_mar, pairwise ~ marital_status,          adjust = "tukey")
$emmeans
 marital_status    emmean    SE  df lower.CL upper.CL
 Divorced           56.87  8.29 963    40.61     73.1
 In a relationship  13.61  8.05 963    -2.19     29.4
 Married            18.28  3.36 963    11.68     24.9
 Other              50.00 75.50 963   -98.21    198.2
 Separated           7.75 18.90 963   -29.30     44.8
 Single             20.37  5.27 963    10.01     30.7
 Widowed            30.67  8.84 963    13.32     48.0

Confidence level used: 0.95 

$contrasts
 contrast                      estimate    SE  df t.ratio p.value
 Divorced - In a relationship     43.26 11.60 963   3.744  0.0036
 Divorced - Married               38.59  8.95 963   4.314  0.0004
 Divorced - Other                  6.87 76.00 963   0.090  1.0000
 Divorced - Separated             49.12 20.60 963   2.382  0.2071
 Divorced - Single                36.51  9.83 963   3.716  0.0040
 Divorced - Widowed               26.20 12.10 963   2.162  0.3173
 In a relationship - Married      -4.67  8.73 963  -0.535  0.9983
 In a relationship - Other       -36.39 76.00 963  -0.479  0.9991
 In a relationship - Separated     5.86 20.50 963   0.286  1.0000
 In a relationship - Single       -6.75  9.62 963  -0.702  0.9925
 In a relationship - Widowed     -17.06 12.00 963  -1.427  0.7874
 Married - Other                 -31.72 75.60 963  -0.420  0.9996
 Married - Separated              10.53 19.20 963   0.549  0.9981
 Married - Single                 -2.09  6.26 963  -0.333  0.9999
 Married - Widowed               -12.39  9.46 963  -1.310  0.8473
 Other - Separated                42.25 77.80 963   0.543  0.9982
 Other - Single                   29.63 75.70 963   0.391  0.9997
 Other - Widowed                  19.33 76.00 963   0.254  1.0000
 Separated - Single              -12.62 19.60 963  -0.644  0.9953
 Separated - Widowed             -22.92 20.80 963  -1.099  0.9283
 Single - Widowed                -10.31 10.30 963  -1.001  0.9538

P value adjustment: tukey method for comparing a family of 7 estimates 

Tukey HSD another way

TukeyHSD(aov_mar)
  Tukey multiple comparisons of means
    95% family-wise confidence level

Fit: aov(formula = books ~ marital_status, data = cah)

$marital_status
                                  diff        lwr        upr     p adj
In a relationship-Divorced  -43.259858  -77.40177  -9.117947 0.0036187
Married-Divorced            -38.593732  -65.02603 -12.161436 0.0003541
Other-Divorced               -6.873494 -231.34992 217.602937 1.0000000
Separated-Divorced          -49.123494 -110.04754  11.800548 0.2071415
Single-Divorced             -36.507640  -65.53787  -7.477414 0.0040209
Widowed-Divorced            -26.202261  -62.00630   9.601774 0.3172699
Married-In a relationship     4.666126  -21.11337  30.445620 0.9983277
Other-In a relationship      36.386364 -188.01414 260.786863 0.9991040
Separated-In a relationship  -5.863636  -66.50731  54.780036 0.9999557
Single-In a relationship      6.752217  -21.68491  35.189343 0.9925145
Widowed-In a relationship    17.057597  -18.26725  52.382446 0.7873530
Other-Married                31.720238 -191.63728 255.077755 0.9995816
Separated-Married           -10.529762  -67.19237  46.132847 0.9980605
Single-Married                2.086092  -16.39813  20.570309 0.9998901
Widowed-Married              12.391471  -15.55206  40.335007 0.8472908
Separated-Other             -42.250000 -272.25359 187.753593 0.9981827
Single-Other                -29.634146 -253.31398 194.045687 0.9997201
Widowed-Other               -19.328767 -243.98816 205.330626 0.9999778
Single-Separated             12.615854  -45.30425  70.535962 0.9953161
Widowed-Separated            22.921233  -38.67352  84.515988 0.9283177
Widowed-Single               10.305379  -20.10727  40.718024 0.9537681

ANOVA is regression

In regression, we can accommodate categorical predictors. How does this compare to ANOVA?

  • Same omnibus test of the model!

*(Really the same model, but packaged differently.)

  • When would you use one versus the other?

ANOVA

  • More traditional for 3+ groups

  • Comparing/controlling multiple categorical variables

Regression

  • Best for two groups

  • Incorporating continuous predictors too

  • Good for 3+ groups when you have more specific hypotheses (contrasts)

Two-Way ANOVA

What is a Two-Way ANOVA?

Examines the impact of 2 nominal/categorical variables on a continuous outcome

We can now examine:

  • The impact of variable 1 on the outcome (Main Effect)

  • The impact of variable 2 on the outcome (Main Effect)

  • The interaction of variable 1 & 2 on the outcome (Interaction Effect)

    • The effect of variable 1 depends on the level of variable 2

Main Effect & Interactions

Main Effect: Basically a one-way ANOVA

  • The effect of variable 1 is the same across all levels of variable 2

Interaction:

  • Able to examine the effect of variable 1 across different levels of variable 2

  • Basically speaking, the effect of variable 1 on our outcome DEPENDS on the levels of variable 2